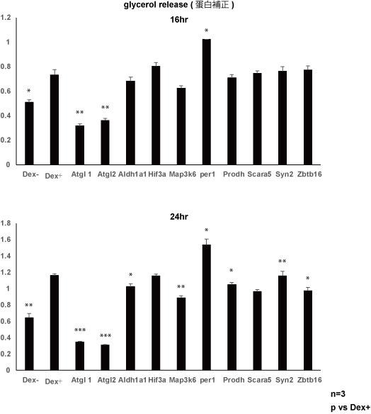
3T3-L1脂肪細胞に対するdexamethasone添加実験 脂質分解 実験4