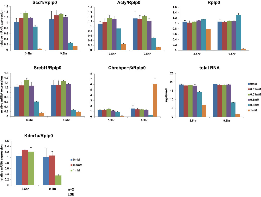
TBHPによる遺伝子発現変化 実験3
細胞:3T3-L1脂肪細胞(Day11, 95%分化)
分化条件:Dex/MIX/insulin, 3日間
処理条件:0-
1mM TBHP/DMEM(H)/10%FBS
, 3.5-9.5hr