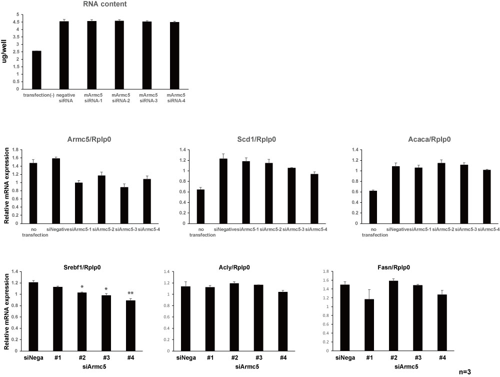
Armc5 ノックダウン 実験1
細胞:3T3-L1 (Day8, 90%分化)
siRNA導入条件
・10cm 1枚→9/12ウェル
・siRNA
・AllStars Negative Control siRNA (Qiagen, 1027280)
・Armc5 siRNA-1:Mm_Armc5_1 (Qiagen, SI00903791), CACTATGGTATTGAAATTAAA
・Armc5 siRNA-2:Mm_Armc5_2 (Qiagen, SI00903798), AAGGGATGAGTTGGCTGTAAA
・Armc5 siRNA-3:Mm_Armc5_3 (Qiagen, SI00903805), CAGGTTGTGGCTGATTTCTGA
・Armc5 siRNA-4:Mm_Armc5_4 (Qiagen, SI00903812), CACCTGAGATTTGAACACTGA
・トランスフェクション
・siRNA:60pmol/well
・Lipofectamine RNAiMAX Reagent:2ul/well
・Opti-MEM:200ul/well
・トランスフェクション時間:8時間
培養時間:52時間
