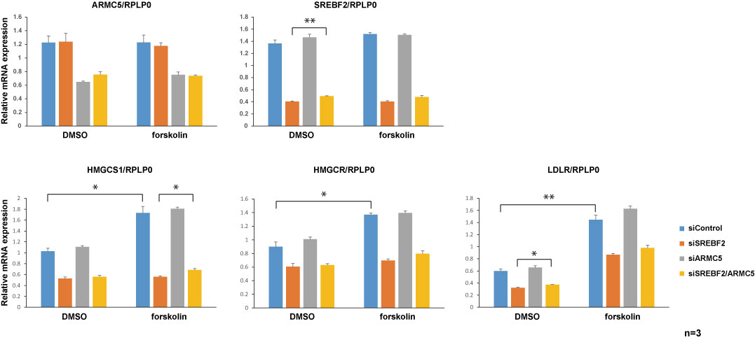
Armc5 ノックダウン H295R リポフェクション 実験6
トランスフェクション
・方法:Reverse transfection
・H295R (10cm, 20% confluent) x 4枚→12well x 2枚
・siRNA:12pmol each/well
・siControl:Silencer Select Negative Control No.1
・siSREBF2:Silencer Select siSREBF2 (s29) + Silencer Select Negative Control
・siARMC5:Silencer Select siARMC5 (s36353) + Silencer Select Negative Control
・siSREBF2/ARMC5:Silencer Select siSREBF2 (s29) + siARMC5 (s36353)
・Lipofectamine RNAiMAX:3ul/well
・薬剤処理:24hr後、1/1000 DMSO or 10uM forskolin (抗生物質(-))で培地交換(1ウェルずつピペットマンで)→23hr後、回収
