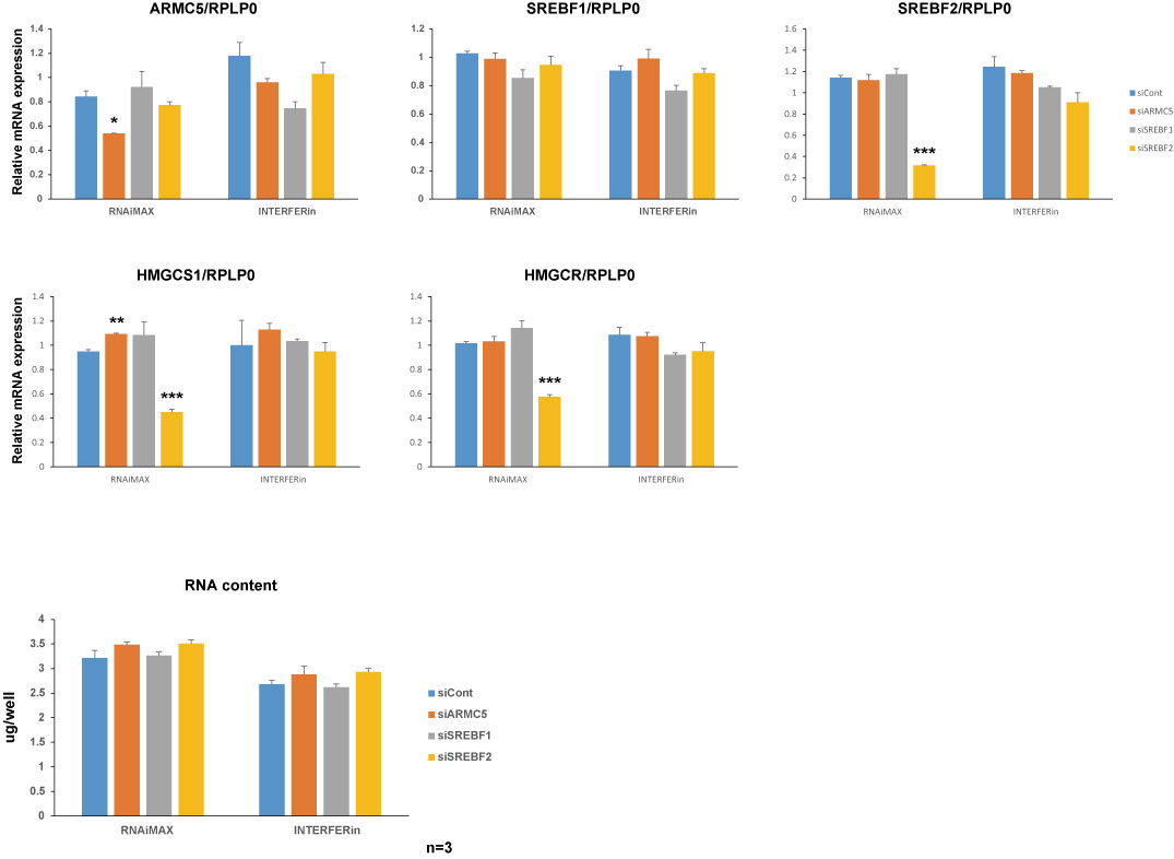
Srebf1ノックダウン H295R 実験2
トランスフェクション
・方法:Reverse transfection
・H295R (10cm, 35% confluent) x 1枚→trypsin/EDTA→圧力ピペッティング5回→12well 1枚
・siRNA:12pmol/well
・Silencer Select Negative Control No.1 siRNA (Thermo)
・Silencer Select siARMC5 (Thermo, s36353, AS02F5JV)
・Silencer Select Validated siSREBF1 (Thermo, s129, ASO2H52U)
・Silencer Select Validated siSREBF2 (Thermo, s29, ASO2H52V)
・試薬
・Lipofectamine RNAiMAX:3ul/well
・INTERFERin:6ul/well
・培地交換:51hr後、10uM forskolin (抗生物質(-))で培地交換→14hr後、細胞回収
